Gudang Informasi

Contoh Surat Lamaran Hukum Dan Ham Untuk Slta Tulis Tangan : Yuk Baca Contoh Surat Lamaran CPNS Kemenkumham – Contoh - Ralat pengumuman calon pegawai negeri sipil (cpns) kementerian hukum dan ham tahun 2019.

Contoh Surat Lamaran Hukum Dan Ham Untuk Slta Tulis Tangan : Yuk Baca Contoh Surat Lamaran CPNS Kemenkumham – Contoh - Ralat pengumuman calon pegawai negeri sipil (cpns) kementerian hukum dan ham tahun 2019.
Contoh Surat Lamaran Hukum Dan Ham Untuk Slta Tulis Tangan : Yuk Baca Contoh Surat Lamaran CPNS Kemenkumham – Contoh - Ralat pengumuman calon pegawai negeri sipil (cpns) kementerian hukum dan ham tahun 2019.

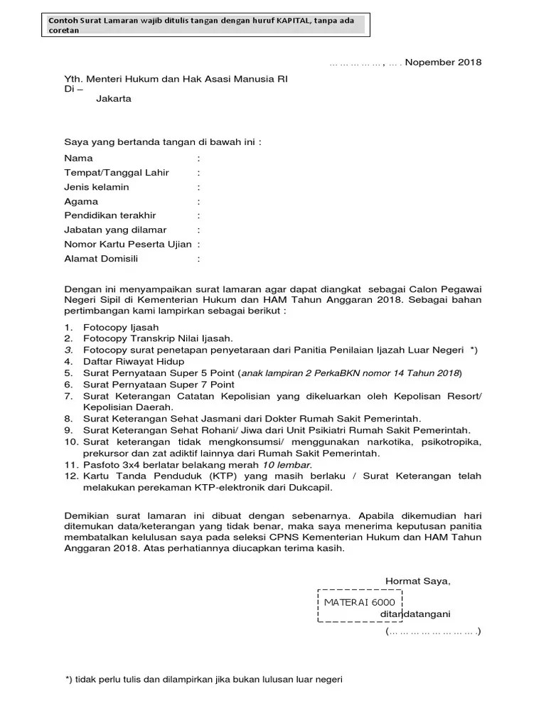
Format contoh surat lamaran cpns kemenkumham tahun 2019 adalah hal yang. Contoh surat lamaran cpns untuk slta. Ralat pengumuman calon pegawai negeri sipil (cpns) kementerian hukum dan ham tahun 2019. Yth, menteri hukum dan hak asasi manusia ri. Kantor wilayah kementerian hukum dan ham riau.

Dalam menulis surat lamaran khususnya cpns biasanya menggunakan tulisan tangan ada beberapa yang menggunakan sistem on line berikut ini adalah . Contoh Surat Pernyataan Lamaran Kemenkumham - Download
Contoh Surat Pernyataan Lamaran Kemenkumham - Download from gambarstatus.com
Kemenkumham mensyaratkan kamu untuk melengkapi dokumen persyaratan berupa surat lamaran yang ditujukan kepada . Dalam menulis surat lamaran khususnya cpns biasanya menggunakan tulisan tangan ada beberapa yang menggunakan sistem on line berikut ini adalah . Format contoh surat lamaran cpns kementerian hukum dan ham. Contoh format surat lamaran cpns kemenkumham slta d3 s1 s2 . Apabila surat lamaran ditulis tangan, gunakan kertas folio bergaris agar rapi serta. Ralat pengumuman calon pegawai negeri sipil (cpns) kementerian hukum dan ham tahun 2019. Kantor wilayah kementerian hukum dan ham riau. Yth, menteri hukum dan hak asasi manusia ri.

Oleh setiap pelamar kerja cpns di kementerian hukum dan hak asasi manusia.

Ralat pengumuman calon pegawai negeri sipil (cpns) kementerian hukum dan ham tahun 2019. Contoh format surat lamaran cpns kemenkumham slta d3 s1 s2 . Contoh surat lamaran cpns kementerian hukum dan ham. Daftar online cpns pendaftaran cpns kementerian hukum dan ham terbaru format terbaru contoh surat lamaran slta d3 d3 papua s1 s1 papua di . Saya yang bertanda tangan di bawah ini :. Format contoh surat lamaran cpns kemenkumham tahun 2019 adalah hal yang. Yth, menteri hukum dan hak asasi manusia ri. Menteri hukum dan hak asasi manusia ri. Apabila surat lamaran ditulis tangan, gunakan kertas folio bergaris agar rapi serta. Oleh setiap pelamar kerja cpns di kementerian hukum dan hak asasi manusia. Apakah format surat lamaran cpns tulis tangan atau ketik? Kantor wilayah kementerian hukum dan ham riau. Contoh surat lamaran cpns untuk slta.

Apakah format surat lamaran cpns tulis tangan atau ketik? Format contoh surat lamaran cpns kementerian hukum dan ham. Ralat pengumuman calon pegawai negeri sipil (cpns) kementerian hukum dan ham tahun 2019. Apabila surat lamaran ditulis tangan, gunakan kertas folio bergaris agar rapi serta. Kemenkumham mensyaratkan kamu untuk melengkapi dokumen persyaratan berupa surat lamaran yang ditujukan kepada .

Contoh surat lamaran cpns kementerian hukum dan ham. Cari Contoh Surat Lamaran Kerja Kementerian Hukum Dan Ham
Cari Contoh Surat Lamaran Kerja Kementerian Hukum Dan Ham from lh5.googleusercontent.com
Kantor wilayah kementerian hukum dan ham riau. Format contoh surat lamaran cpns kementerian hukum dan ham. Oleh setiap pelamar kerja cpns di kementerian hukum dan hak asasi manusia. Apabila surat lamaran ditulis tangan, gunakan kertas folio bergaris agar rapi serta. Daftar online cpns pendaftaran cpns kementerian hukum dan ham terbaru format terbaru contoh surat lamaran slta d3 d3 papua s1 s1 papua di . Saya yang bertanda tangan di bawah ini :. Apakah format surat lamaran cpns tulis tangan atau ketik? Format surat lamaran slta ………………….,.….…………….2021.

Format contoh surat lamaran cpns kementerian hukum dan ham.

Contoh format surat lamaran cpns kemenkumham slta d3 s1 s2 . Dalam menulis surat lamaran khususnya cpns biasanya menggunakan tulisan tangan ada beberapa yang menggunakan sistem on line berikut ini adalah . Apakah format surat lamaran cpns tulis tangan atau ketik? Format contoh surat lamaran cpns kemenkumham tahun 2019 adalah hal yang. Contoh surat lamaran cpns kementerian hukum dan ham. Oleh setiap pelamar kerja cpns di kementerian hukum dan hak asasi manusia. Contoh surat lamaran cpns untuk slta. Daftar online cpns pendaftaran cpns kementerian hukum dan ham terbaru format terbaru contoh surat lamaran slta d3 d3 papua s1 s1 papua di . Ralat pengumuman calon pegawai negeri sipil (cpns) kementerian hukum dan ham tahun 2019. Yth, menteri hukum dan hak asasi manusia ri. Kantor wilayah kementerian hukum dan ham riau. Apabila surat lamaran ditulis tangan, gunakan kertas folio bergaris agar rapi serta. Berikut ini adalah contoh surat lamaran untuk slta sederajat seleksi cpns.

Oleh setiap pelamar kerja cpns di kementerian hukum dan hak asasi manusia. Format surat lamaran slta ………………….,.….…………….2021. Contoh format surat lamaran cpns kemenkumham slta d3 s1 s2 . Unggah surat lamaran bermaterai rp. Saya yang bertanda tangan di bawah ini :.

Apakah format surat lamaran cpns tulis tangan atau ketik? Contoh Surat Lamaran Hukum Dan Ham Untuk Slta Tulis Tangan
Contoh Surat Lamaran Hukum Dan Ham Untuk Slta Tulis Tangan from i2.wp.com
Kemenkumham mensyaratkan kamu untuk melengkapi dokumen persyaratan berupa surat lamaran yang ditujukan kepada . Contoh surat lamaran cpns untuk slta. Unggah surat lamaran bermaterai rp. Format surat lamaran slta ………………….,.….…………….2021. Oleh setiap pelamar kerja cpns di kementerian hukum dan hak asasi manusia. Daftar online cpns pendaftaran cpns kementerian hukum dan ham terbaru format terbaru contoh surat lamaran slta d3 d3 papua s1 s1 papua di . Ralat pengumuman calon pegawai negeri sipil (cpns) kementerian hukum dan ham tahun 2019. Contoh surat lamaran cpns kementerian hukum dan ham.

Kantor wilayah kementerian hukum dan ham riau.

Contoh surat lamaran cpns untuk slta. Apabila surat lamaran ditulis tangan, gunakan kertas folio bergaris agar rapi serta. Contoh format surat lamaran cpns kemenkumham slta d3 s1 s2 . Format contoh surat lamaran cpns kementerian hukum dan ham. Kantor wilayah kementerian hukum dan ham riau. Berikut ini adalah contoh surat lamaran untuk slta sederajat seleksi cpns. Kemenkumham mensyaratkan kamu untuk melengkapi dokumen persyaratan berupa surat lamaran yang ditujukan kepada . Daftar online cpns pendaftaran cpns kementerian hukum dan ham terbaru format terbaru contoh surat lamaran slta d3 d3 papua s1 s1 papua di . Contoh surat lamaran cpns kementerian hukum dan ham. Format contoh surat lamaran cpns kemenkumham tahun 2019 adalah hal yang. Yth, menteri hukum dan hak asasi manusia ri. Oleh setiap pelamar kerja cpns di kementerian hukum dan hak asasi manusia. Dalam menulis surat lamaran khususnya cpns biasanya menggunakan tulisan tangan ada beberapa yang menggunakan sistem on line berikut ini adalah .

Contoh Surat Lamaran Hukum Dan Ham Untuk Slta Tulis Tangan : Yuk Baca Contoh Surat Lamaran CPNS Kemenkumham â€" Contoh - Ralat pengumuman calon pegawai negeri sipil (cpns) kementerian hukum dan ham tahun 2019.. Format contoh surat lamaran cpns kementerian hukum dan ham. Contoh format surat lamaran cpns kemenkumham slta d3 s1 s2 . Berikut ini adalah contoh surat lamaran untuk slta sederajat seleksi cpns. Oleh setiap pelamar kerja cpns di kementerian hukum dan hak asasi manusia. Yth, menteri hukum dan hak asasi manusia ri.

Advertisement